2024年浙江理工大学科技与艺术学院退役大学生士兵免试专升本招生征求志愿测试公告,根据浙江省教育考试院《关于做好2024年退役大学生士兵免试专升本录取工作的通知》(浙教试院〔2024〕23号)和我校2024年退役大学生士兵免试专升本招生(以下简称免试专升本招生)章程的有关政策规定和要求,我校将综合素质测试及相关具体工作安排公告如下:
第一章:浙江理工大学科技与艺术学院2024年退役大学生士兵免试专升本招生征求志愿情况表

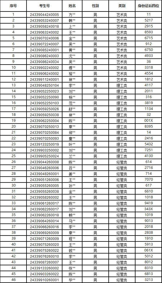
第二章:参加综合测试考生范围
2024年退役大学生士兵免试专升本招生第三院校志愿网络远程综合测试名单

第三章:初步考试安排
(一)考试形式:
线上网络远程综合测试
(二)考试时间:
2024年4月17日(周三)8:45(考生进行综合测试平台模拟演练并进行综合测试;预测时间:4月16日下午15:00)
(三)特别强调:
应参加而未按要求参加本轮综合测试的考生视为放弃报考资格,不能进入本轮后续录取环节(免综合测试的考生除外)
(四)信息发布:
为及时发布信息,请相关考生及时加钉钉群“2024年科艺学院退役大学生士兵免试专升本通知群(备注:免试专升本征求志愿校测考生+姓名)
附件:https://zs.ky.zstu.edu.cn/info/1003/1624.htm
附件【附件1:浙江理工大学科技与艺术学院个人诚信考试承诺书.docx】
附件【附件2:浙江理工大学科技与艺术学院2024年免试专升本招生自愿放弃声明书.doc】
浙江专升本院校专业不知道怎么选?报名报考问题不知道怎么解答?落榜没考上怎么办?【浙江专升本报名考试指导】的专业老师为你解答!
各位考生可可以和【浙江专升本考生交流群】里面的老师开展一对一交流,帮助考生攻克基础知识薄弱、攻坚考试重点难点等困难,得到专属于自己的解答。敬请关注我们吧!
以上就是关于“2024年浙江理工大学科技与艺术学院退役大学生士兵免试专升本招生征求志愿测试公告”的全部内容,考生如果想获得更多关于常见问题、相关资讯,如考试动态、招生简章、统考动态、浙江专升本院校、历年真题、考试大纲、专升本等相关信息,敬请关注浙江专升本网(http://www.jswm.com.cn/)

浙江专升本声明
(一)由于考试政策等各方面情况的不断调整与变化,本网站所提供的考试信息仅供参考,请以权威部门公布的正式信息为准。
(二)本网站在文章内容来源出处标注为其他平台的稿件均为转载稿,免费转载出于非商业性学习目的,版权归原作者所有。如您对内容、版权等问题存在异议请于我们联系,我们会及时处理。
文章来源于网络,如有侵权,请联系删除

福利领取
成考报名
自考报名
教师资格证
专升本报名
四级报名



