【导读】浙江统招专升本为各位考生整理了浙江成人高考专升本数学常用公式有哪些?的内容,希望对大家能有所帮助哦!

浙江成人高考专升本数学常用公式有哪些?
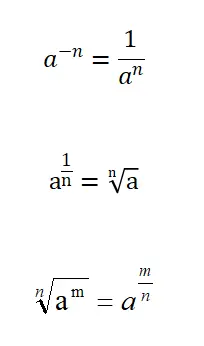
1、幂函数计算
同底数幂的乘法:底数不变,指数相加幂的乘方;
同底数幂的除法:底数不变,指数相减幂的乘方;
幂的指数乘方:等于各因数分别乘方的积商的乘方
分式乘方:分子分母分别乘方,指数不变。

2、三角函数
三角函数在求积分的时候会用到和倍角公式,sin 和 cos 用的比较多。tan的考的比较少。

以上就是关于浙江成人高考专升本数学常用公式有哪些?的全部内容,若考生还想了解更多关于浙江专升本考试的相关资讯,如浙江专升本常见问题、统招考试、统考动态、复习方法等,敬请关注浙江省专升本网。
展开全文
—— 没找你想要的专升本资讯?预约免费咨询 ——
你的姓名
*联系方式
就读年级
就读专业
立即预约

浙江专升本声明
(一)由于考试政策等各方面情况的不断调整与变化,本网站所提供的考试信息仅供参考,请以权威部门公布的正式信息为准。
(二)本网站在文章内容来源出处标注为其他平台的稿件均为转载稿,免费转载出于非商业性学习目的,版权归原作者所有。如您对内容、版权等问题存在异议请于我们联系,我们会及时处理。
文章来源于网络,如有侵权,请联系删除

福利领取
成考报名
自考报名
教师资格证
专升本报名
四级报名



